题目内容
设△ABC的内角A,B,C所对边的长分别为a,b,c,若b+c=2a,3sinA=5sinB,则角C=( )A.
B.
C.
D.
【答案】分析:由条件利用正弦定理可得
,再由余弦定理求得cosC的值,即可求得角C的值.
解答:解:∵△ABC的内角A,B,C所对边的长分别为a,b,c,由b+c=2a,3sinA=5sinB,
结合正弦定理可得
,化简可得
.
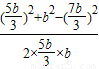
再由余弦定理可得cosC=
=
=-
=-
,故C=
,
故选B.
点评:本题主要考查正弦定理和余弦定理的应用,已知三角函数值求角的大小,属于中档题.
解答:解:∵△ABC的内角A,B,C所对边的长分别为a,b,c,由b+c=2a,3sinA=5sinB,
结合正弦定理可得
再由余弦定理可得cosC=
故选B.
点评:本题主要考查正弦定理和余弦定理的应用,已知三角函数值求角的大小,属于中档题.
练习册系列答案
相关题目