题目内容
已知数列{an}中,a1=1,且an=(1)求数列{an}的通项公式;
(2)令bn=
(3)令cn=
【答案】分析:第1问对条件式子两边同除以n,然后要用累加法可求出
,从而可求出an.
第2问有两种方法:方法1先对n=1,2,3时对
进行比较,从而猜想出一个结论,然后对这个结论用数学归纳法进行证明;
方法2把
的差构造
,然后利用f(n+1)-f(n)的结果正负判断出f(n)的单调性.再通过n=1,2,3时,
的结果变化趋势得出最后的结论.第3问先由an写出cn,然后先对
的用放缩法进行适当的放大,然后采用裂项法得出一个结果,然后再对Tn的除第一项以外的每一项按此进行放缩和裂项,运算之后很容易就看出与2的大小关系,就可以得出最后的证明结论.
解答:解:(1)由题
知,
,
由累加法,当n≥2时,
代入a1=1,得n≥2时,
又a1=1,故an=n•3n-1(n∈N*).
(2)n∈N*时,
.
方法1:当n=1时,
;当n=2时,
;
当n=3时,
.
猜想当n≥3时,
.
下面用数学归纳法证明:
①当n=3时,由上可知
成立;
②假设:n=k(k≥3)时,上式成立,即
.
当n=k+1时,左边=
,
所以当n=k+1时成立.
由①②可知当n≥3,n∈N*时,
.
综上所述:当n=1时,
;当n=2时,
;
当n≥3(n∈N*)时,
.
方法2:
记函数
所以
则
所以f(n+1)<f(n).
由于
,此时
;
,此时
;
,此时
;
由于,f(n+1)<f(n),故n≥3时,f(n)≤f(3)<0,此时
.
综上所述:当n=1,2时,
;当n≥3(n∈N*)时,
.
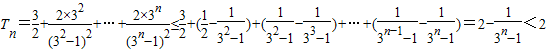
(3)
当n≥2时,
所以当n≥2时,
.
且
故对n∈N*,Tn<2得证.
点评:本题第1问主要考查了用累加法求数列的通项.第2问主要考查了数学归纳证明,采用先猜想后证明的思维方式.第3问主要采用了放缩法及裂项法,难点在于放缩的把握放缩的方向和放缩的程度.总体来说第3问比较难.
第2问有两种方法:方法1先对n=1,2,3时对
方法2把
解答:解:(1)由题
由累加法,当n≥2时,
代入a1=1,得n≥2时,
又a1=1,故an=n•3n-1(n∈N*).
(2)n∈N*时,
方法1:当n=1时,
当n=3时,
猜想当n≥3时,
下面用数学归纳法证明:
①当n=3时,由上可知
②假设:n=k(k≥3)时,上式成立,即
当n=k+1时,左边=
所以当n=k+1时成立.
由①②可知当n≥3,n∈N*时,
综上所述:当n=1时,
当n≥3(n∈N*)时,
方法2:
记函数
所以
则
所以f(n+1)<f(n).
由于
由于,f(n+1)<f(n),故n≥3时,f(n)≤f(3)<0,此时
综上所述:当n=1,2时,
(3)
当n≥2时,
所以当n≥2时,
且
点评:本题第1问主要考查了用累加法求数列的通项.第2问主要考查了数学归纳证明,采用先猜想后证明的思维方式.第3问主要采用了放缩法及裂项法,难点在于放缩的把握放缩的方向和放缩的程度.总体来说第3问比较难.
练习册系列答案
相关题目
已知数列{an}中,a1=1,2nan+1=(n+1)an,则数列{an}的通项公式为( )
A、
| ||
B、
| ||
C、
| ||
D、
|