题目内容
在△ABC中,设内角A,B,C的对边分别为a,b,c,
,
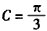
(Ⅰ)求角C的大小;
(Ⅱ)若c=2
且sinA=2sinB,求△ABC的面积.
(Ⅰ)求角C的大小;
(Ⅱ)若c=2
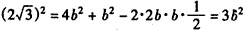
解:(Ⅰ)∵
,
∴
,
∴
,
在△ABC中,
,
∴
。
(Ⅱ)∵
,
∴a=2b,
∵
,
∴
,
∴b=2,∴a=4,
∴
。
∴
∴
在△ABC中,
∴
(Ⅱ)∵
∴a=2b,
∵
∴
∴b=2,∴a=4,
∴
练习册系列答案
相关题目
题目内容