题目内容
在△ABC中,∠A,∠B,∠C所对的边分别为a,b,c,则下列关系正确的是( )A.cosC=a2+b2-c2
B.cosC=a2-b2+c2
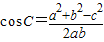
C.
D.
【答案】分析:根据余弦定理,可得结论.
解答:解:根据余弦定理,可得
故选C.
点评:本题考查余弦定理,考查学生对结论的掌握,属于基础题.
解答:解:根据余弦定理,可得
故选C.
点评:本题考查余弦定理,考查学生对结论的掌握,属于基础题.
练习册系列答案
相关题目
题目内容
在△ABC中,∠A,∠B,∠C所对的边分别为a,b,c,则下列关系正确的是( )