题目内容
定义在R上的奇函数f(x)满足当x>0时f(x)=x2-2x+2.(1)求f(f(-1))的值
(2)求f(x)的解析式
(3)在所给坐标系中画出f(x)的图象,写出单调区间.
【答案】分析:(1)易求f(1),所以f(-1)=-f(1),进而可求得f(f(-1))的值;
(2)只需求x≤0时f(x)表达式,由f(-0)=-f(0)可得f(0),x<0时,先求f(-x),根据f(x)与f(-x)关系可得f(x);
(3)由(2)可作出f(x)草图,根据图象可得其单调区间;
解答:
解:(1)因为f(x)为奇函数,
所以f(-1)=-f(1)=-(1-2+2)=-1,
所以f(f(-1))=f(-1)=-1;
(2)由奇函数性质可得,f(-0)=-f(0),解得f(0)=0;
当x<0时,-x>0,则f(-x)=(-x)2-2(-x)+2=x2+2x+2,
所以f(x)=-f(-x)=-x2-2x-2;
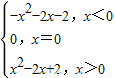
所以f(x)=
;
(3)由(2)作出f(x)的图象如右所示:
根据图象可得增区间为:(-∞,-1)和((1,+∞);减区间为:(-1,0)和(0,1).
点评:本题考查函数的奇偶性及其应用,属基础题.
(2)只需求x≤0时f(x)表达式,由f(-0)=-f(0)可得f(0),x<0时,先求f(-x),根据f(x)与f(-x)关系可得f(x);
(3)由(2)可作出f(x)草图,根据图象可得其单调区间;
解答:
所以f(-1)=-f(1)=-(1-2+2)=-1,
所以f(f(-1))=f(-1)=-1;
(2)由奇函数性质可得,f(-0)=-f(0),解得f(0)=0;
当x<0时,-x>0,则f(-x)=(-x)2-2(-x)+2=x2+2x+2,
所以f(x)=-f(-x)=-x2-2x-2;
所以f(x)=
(3)由(2)作出f(x)的图象如右所示:
根据图象可得增区间为:(-∞,-1)和((1,+∞);减区间为:(-1,0)和(0,1).
点评:本题考查函数的奇偶性及其应用,属基础题.
练习册系列答案
相关题目
定义在R上的奇函数f(x)满足f(2x)=-2f(x),f(-1)=
,则f(2)的值为( )
| 1 |
| 2 |
| A、-1 | B、-2 | C、2 | D、1 |