题目内容
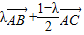
△ABC中,点E为AB边的中点,点F为AC边的中点,BF交CE于点G,若A.
B.
C.1
D.
【答案】分析:利用三点共线,将
用基底表示,利用平面向量基本定理,即可求得x,y的值,从而可得结论.
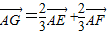
解答:解:∵B、G、F三点共线
∴
=
∵C、G、E三点共线
∴
=
∴
∴
∴
∴
∵
∴
故选B.
点评:本题考查三点共线,考查平面向量基本定理,考查学生的计算能力,正确表示向量是关键.
解答:解:∵B、G、F三点共线
∴
∵C、G、E三点共线
∴
∴
∴
∴
∴
∵
∴
故选B.
点评:本题考查三点共线,考查平面向量基本定理,考查学生的计算能力,正确表示向量是关键.
练习册系列答案
相关题目