题目内容

已知点M(3,1),直线与圆

(1)求过点M的圆的切线方程;

(2)若直线与圆相切,求a的值;

(3)若直线与圆相交与A,B两点,且弦AB的长为,求a的值。

 

【答案】

(1)(2)(3)

【解析】

试题分析:(1)点在圆外,故切线有两条件,当斜率不存在时即时满足与M相切,当斜率存在时可设点斜式直线方程,再由圆心到直线的距离等于半径求出由此能求出两条件切线方程.

(2)由与圆相切知圆心到直线的距离等于半径得,由此能求出a.

(3)圆心到直线的距离,圆的半径,由,能求出a.

试题解析:

(1)圆心,半径,当切线的斜率不存在是,方程为.由圆心到直线的距离知,此时直线与圆相切。

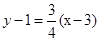
当切线的斜率存在时,设切线方程为,

.

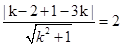
由题意知,解得k=,

∴切线方程为,即.

故国M点的圆的切线方程为.

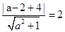
(2)由题意知,解得

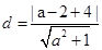
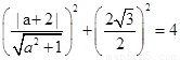
(3)∵圆心到直线的距离为

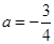
解得.

考点:直线和圆的方程的应用;圆的切线方程.

 

练习册系列答案
相关题目

违法和不良信息举报电话:027-86699610 举报邮箱:58377363@163.com

精英家教网