题目内容
曲线
【答案】分析:利用消去参数θ可知,曲线是一人椭圆,A、B恰为焦点,再利用椭圆的定义求解即可.
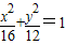
解答:解:曲线
表示的椭圆标准方程为
,
可知点A(-2,0)、B(2,0)
椭圆的焦点,故|PA|+|PB|=2a=8.
故答案为:8.
点评:本题主要考查了简单曲线的参数方程,椭圆的定义等,属于基础题.
解答:解:曲线
表示的椭圆标准方程为
可知点A(-2,0)、B(2,0)
椭圆的焦点,故|PA|+|PB|=2a=8.
故答案为:8.
点评:本题主要考查了简单曲线的参数方程,椭圆的定义等,属于基础题.
练习册系列答案
相关题目