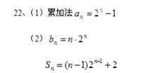
题目内容
在数列中,,.(1)求数列的通项公式;(2)设,求数列的前项和.(12分)
解析
(本题满分18分)本题共有3个小题,第1小题满分4分,第2小题满分6分,第3小题满分8分.
在数列中,,.
(1)设,证明:数列是等差数列;
(2)设数列的前项和为,求的值;
(3)设,数列的前项和为,,是否存在实数,使得对任意的正整数和实数,都有成立?请说明理由.
在数列中,,。(1)设,求数列的通项公式;(2)求数列的前项和。
(1)设,求数列的通项公式;
(2)求数列的前项和.
(本题满分14分)在数列中,,,
(1)求数列的通项公式;
(2)求数列的前项和;
(3)在(2)的条件下指出数列的最小项的值,并证明你的结论。
(本小题满分12分)
已知在数列中,,,
(1) 证明:数列是等比数列; (2)求数列的前n项和。