题目内容
如图,一个底面半径为R的圆柱形量杯中装有适量的水.若放入一个半径为r的实心铁球,水面高度恰好升高r,则
【答案】分析:先求半径为r的实心铁球的体积,等于升高的水的体积,可得结论.
解答:解:半径为r的实心铁球的体积是:
升高的水的体积是:πR2r
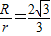
所以:
∴
故答案为:
.
点评:本题考查球的体积,考查空间想象能力,是基础题.
解答:解:半径为r的实心铁球的体积是:
升高的水的体积是:πR2r
所以:
∴
故答案为:
点评:本题考查球的体积,考查空间想象能力,是基础题.
练习册系列答案
相关题目