题目内容
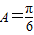
设△ABC的内角A,B,C所对的边长分别为a,b,c,且(1)求角A的大小;
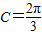
(2)若角
【答案】分析:(1)利用正弦定理把
中的边换成角的正弦,进而利用两角和公式进行化简整理求得cosA,进而求得A.
(2)由(1)知
,进而可知三角形为等腰三角形和C的值,设AC=x,进而用余弦定理建立等式求得x,进而用三角形面积公式求得答案.
解答:解:(1)因为
,
所以

,
则
,
所以
,于是
(2)由(1)知
,
所以AC=BC,
设AC=x,则
又
.
在△AMC中由余弦定理得AC2+MC2-2AC•MCcosC=AM2,
即
,
解得x=2,
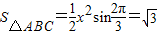
故
.
点评:本题主要考查了正弦定理和余弦定理的应用.在解三角形问题中,常需要用正弦定理和余弦定理完成边角互化,来解决问题.
(2)由(1)知
解答:解:(1)因为
所以
则
所以
(2)由(1)知
所以AC=BC,
设AC=x,则
又
在△AMC中由余弦定理得AC2+MC2-2AC•MCcosC=AM2,
即
解得x=2,
故
点评:本题主要考查了正弦定理和余弦定理的应用.在解三角形问题中,常需要用正弦定理和余弦定理完成边角互化,来解决问题.
练习册系列答案
相关题目