题目内容
已知
【答案】分析:本题考查的分段函数的函数值,由函数解析式,我们可以先求出f(x)的解析式,然后将x的值代入,由此可以得到f(1)的值.
解答:解:令x-2=t,则x=t+2,由
,
得
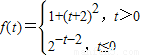
所以f(x)=
,
所以f(1)=1+(1+2)2=10.
故答案为10.
点评:分段函数分段处理,这是研究分段函数图象和性质最核心的理念,具体做法是:分段函数的定义域、值域是各段上x、y取值范围的并集,分段函数的奇偶性、单调性要在各段上分别论证;分段函数的最大值,是各段上最大值中的最大者.
解答:解:令x-2=t,则x=t+2,由
得
所以f(x)=
所以f(1)=1+(1+2)2=10.
故答案为10.
点评:分段函数分段处理,这是研究分段函数图象和性质最核心的理念,具体做法是:分段函数的定义域、值域是各段上x、y取值范围的并集,分段函数的奇偶性、单调性要在各段上分别论证;分段函数的最大值,是各段上最大值中的最大者.
练习册系列答案
相关题目