题目内容
已知向量(1)求函数f(x)的对称中心;
(2)在△ABC中,a,b,c分别是角A,B,C的对边,且
【答案】分析:(1)通过向量的数量积以及二倍角的余弦函数,两角和的正弦函数化简函数为一个角的一个三角函数的形式,利用正弦函数的对称性求函数f(x)的对称中心;
(2)通过
,求出C的大小,以及余弦定理求出a,b的值.
解答:解:(1)
,
=
.…(4分)
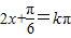
令
得,
,
∴函数f(x)的对称中心为
.…(6分)
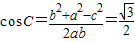
(2)
,
∵C是三角形内角,∴
即:
…(8分)
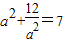
∴
即:a2+b2=7.
将
代入可得:
,解之得:a2=3或4,…(10分)
∵a>b,∴
.…(12分)
∴
或2,∴
.
点评:本题考查向量的数量积的应用,余弦定理以及两角和的正弦函数与二倍角公式的应用,考查计算能力.
(2)通过
解答:解:(1)
=
令
∴函数f(x)的对称中心为
(2)
∵C是三角形内角,∴
∴
将
∵a>b,∴
∴
点评:本题考查向量的数量积的应用,余弦定理以及两角和的正弦函数与二倍角公式的应用,考查计算能力.
练习册系列答案
相关题目