题目内容

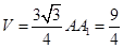
已知三棱柱的侧棱与底面垂直,体积为,底面是边长为的正三角形.若为底面的中心,则与平面所成角的大小为(    )

A..           B.              C.             D.

 

【答案】

B

【解析】

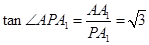
试题分析:如图所示,∵底面,∴与平面所成角,∵平面∥平面,∴与平面所成角,∵,∴,解得,又为底面正三角形的中心,∴中,,∴,故选B.

考点:直线与平面所成的角.

 

练习册系列答案
相关题目

违法和不良信息举报电话:027-86699610 举报邮箱:58377363@163.com

精英家教网