题目内容
设直线l1:y=k1x+1,l2:y=k2x-1,其中实数k1,k2满足k1k2+2=0(1)证明l1与l2相交;
(2)证明l1与l2的交点在椭圆2x2+y2=1上.
【答案】分析:(1)用反证法,假设两条直线平行,则据斜率相同得到与已知矛盾的结论,即可得证.
(2)将两直线方程联立,求出交点坐标,利用已知条件,将交点坐标代入椭圆方程左侧,若满足方程,则得到证明点在线上.
解答:解:(1)假设两条直线平行,则k1=k2
∴k1•k2+2=k12+2=0无意义,矛盾
所以两直线不平行
故l1与l2相交
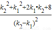
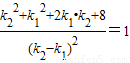
(2)由
得
2x2+y2=
∵k1•k2+2=0
∴
故l1与l2的交点在椭圆2x2+y2=1上.
点评:本题考查利用反证法证明命题、考查通过解两条直线方程构成的方程组求出两条直线的交点的坐标.
(2)将两直线方程联立,求出交点坐标,利用已知条件,将交点坐标代入椭圆方程左侧,若满足方程,则得到证明点在线上.
解答:解:(1)假设两条直线平行,则k1=k2
∴k1•k2+2=k12+2=0无意义,矛盾
所以两直线不平行
故l1与l2相交
(2)由
2x2+y2=
∵k1•k2+2=0
∴
故l1与l2的交点在椭圆2x2+y2=1上.
点评:本题考查利用反证法证明命题、考查通过解两条直线方程构成的方程组求出两条直线的交点的坐标.
练习册系列答案
相关题目