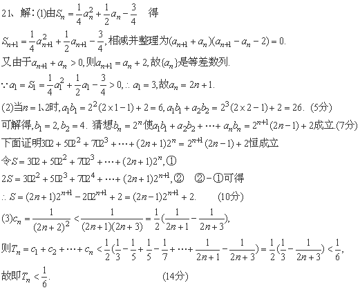
题目内容
设Sn是正项数列{an}的前n项和,且
.
(1)求数列{an}的通项公式;
(2)是否存在等比数列{bn},使a1b1+a2b2+…+anbn=(2n-1)·2n+1+2对一切正整数都成立?并证明你的结论.
(3)设
,且数列{cn}的前n项和为Tn,试比较Tn与
的大小.
练习册系列答案
相关题目
题目内容
设Sn是正项数列{an}的前n项和,且
.
(1)求数列{an}的通项公式;
(2)是否存在等比数列{bn},使a1b1+a2b2+…+anbn=(2n-1)·2n+1+2对一切正整数都成立?并证明你的结论.
(3)设
,且数列{cn}的前n项和为Tn,试比较Tn与
的大小.