题目内容
在中,,,,
求:(1),;
(2)的值。
在中,已知,求边的长及的面积.
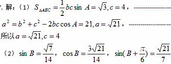
在中,
(1)求AB的值。
(2)求的值。
(本小题满分12分)
在中,BC=1,求的值。
在中,,
(Ⅰ)求的值;(Ⅱ)若的面积,求的长.
(12分)在中,
(1)求的长;(2)求的值