题目内容
已知函数
(ω>0)的最小正周期为π.
(1)求正数ω的值;
(2)在锐角△ABC中,a,b,c分别是角A,B,C的对边,若
,
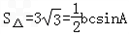
△ABC的面积为
,求a
(1)求正数ω的值;
(2)在锐角△ABC中,a,b,c分别是角A,B,C的对边,若
△ABC的面积为
解(1)由题意得
=
又ω>0并
,得ω=2
(2)由(1)得
由
且A为锐角得
,
又
,且c=3得b=4,
在三角形中由a2=b2+c2-2bccosA 得a=
又ω>0并
(2)由(1)得
由
又
在三角形中由a2=b2+c2-2bccosA 得a=
练习册系列答案
相关题目