题目内容
已知椭圆(I)求椭圆的方程;
(Ⅱ)设直线经过点P(1,2),与椭圆相交于A,B两点,AB的中点为M,求M的轨迹方程.
【答案】分析:(Ⅰ)由题意得c=3,
=
,由此可得椭圆的方程;
(Ⅱ)利用点差法,结合直线的斜率,即可求M的轨迹方程.
解答:解:(Ⅰ)由题意得c=3,
=
,∴a=2
结合a2=b2+c2,解得a2=12,b2=3.
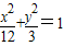
所以,椭圆的方程为
;
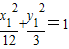
(Ⅱ)设A(x1,y1),B(x2,y2),M(x,y),则
,
两方程相减可得
∴
=-
∵直线经过点P(1,2),
∴-
=
∴x(x-1)+4y(y-2)=0
即M的轨迹方程为x(x-1)+4y(y-2)=0.
点评:本题考查椭圆方程的求法和直线与椭圆位置关系的综合运用,考查点差法的运用,属于中档题.
(Ⅱ)利用点差法,结合直线的斜率,即可求M的轨迹方程.
解答:解:(Ⅰ)由题意得c=3,
结合a2=b2+c2,解得a2=12,b2=3.
所以,椭圆的方程为
(Ⅱ)设A(x1,y1),B(x2,y2),M(x,y),则
两方程相减可得
∴
∵直线经过点P(1,2),
∴-
∴x(x-1)+4y(y-2)=0
即M的轨迹方程为x(x-1)+4y(y-2)=0.
点评:本题考查椭圆方程的求法和直线与椭圆位置关系的综合运用,考查点差法的运用,属于中档题.
练习册系列答案
相关题目