题目内容
已知两点F1(-2,0),F2(2,0),曲线C上的动点M满足|MF1|+|MF2|=2|F1F2|,直线MF2与曲线C交于另一点P.(Ⅰ)求曲线C的方程;
(Ⅱ)设N(-4,0),若
【答案】分析:(Ⅰ)由题意知|MF1|+|MF2|=2|F1F2|=8>4,所以曲线C是以F1,F2为焦点,长轴长为8的椭圆.由此可知曲线C的方程;
(Ⅱ)设M(xM,yM),P(xP,yP),直线MN方程为y=k(x+4),其中k≠0.由
得(3+4k2)y2-24ky=0.解得y=0或
.依题意
,
;由此可知直线MN的方程.
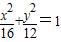
解答:解:(Ⅰ)因为|F1F2|=4,|MF1|+|MF2|=2|F1F2|=8>4,
所以曲线C是以F1,F2为焦点,长轴长为8的椭圆.
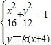
曲线C的方程为
.(4分)
(Ⅱ)显然直线MN不垂直于x轴,也不与x轴重合或平行.(5分)
设M(xM,yM),P(xP,yP),直线MN方程为y=k(x+4),其中k≠0.
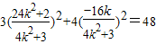
由
得(3+4k2)y2-24ky=0.
解得y=0或
.
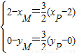
依题意
,
.(7分)
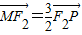
因为
,
所以
,则
.
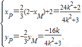
于是
所以
(9分)
因为点P在椭圆上,所以
.
整理得48k4+8k2-21=0,
解得
或
(舍去),
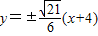
从而
.((11分))
所以直线MN的方程为
.(12分)
点评:本题考查圆锥曲线的位置关系,解题时要认真审题,仔细解题.
(Ⅱ)设M(xM,yM),P(xP,yP),直线MN方程为y=k(x+4),其中k≠0.由
解答:解:(Ⅰ)因为|F1F2|=4,|MF1|+|MF2|=2|F1F2|=8>4,
所以曲线C是以F1,F2为焦点,长轴长为8的椭圆.
曲线C的方程为
(Ⅱ)显然直线MN不垂直于x轴,也不与x轴重合或平行.(5分)
设M(xM,yM),P(xP,yP),直线MN方程为y=k(x+4),其中k≠0.
由
解得y=0或
依题意
因为
所以
于是
所以
因为点P在椭圆上,所以
整理得48k4+8k2-21=0,
解得
从而
所以直线MN的方程为
点评:本题考查圆锥曲线的位置关系,解题时要认真审题,仔细解题.
练习册系列答案
相关题目