题目内容
知等差数列{an}的前n项和为Sn,且a3=5,S15=225.
(Ⅰ)求数列{an}的通项an;
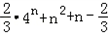
(Ⅱ)设bn=
+2n,求数列{bn}的前n项和Tn.
(Ⅰ)求数列{an}的通项an;
(Ⅱ)设bn=
解:(Ⅰ)设等差数列{an}首项为a1,公差为d,由题意,
得
,
解得
,
∴an=2n﹣1;
(Ⅱ)
,
∴Tn=b1+b2+…+bn=
(4+42+…+4n)+2(1+2+…+n)
=
=
.
得
解得
∴an=2n﹣1;
(Ⅱ)
∴Tn=b1+b2+…+bn=
=
练习册系列答案
相关题目