题目内容
定义在R上的奇函数f(x)满足:对任意的x1,x2∈(-∞,0)(x1≠x2),有A.f(0.32)<f(20.3)<f(log25)
B.
C.
D.
【答案】分析:先确定函数在(0,+∞)上单调递增,再确定0.32<1<20.3<2<log25,即可得到结论.
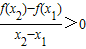
解答:解:∵对任意的x1,x2∈(-∞,0)(x1≠x2),有
.则有
∴函数在(-∞,0)上单调递增
∵函数是奇函数,∴函数在(0,+∞)上单调递增
∵0.32<1<20.3<2<log25
∴f(0.32)<f(20.3)<f(log25)
故选A.
点评:本题考查函数的单调性与奇偶性,考查学生的计算能力,确定函数在(0,+∞)上单调递增是关键.
解答:解:∵对任意的x1,x2∈(-∞,0)(x1≠x2),有
∴函数在(-∞,0)上单调递增
∵函数是奇函数,∴函数在(0,+∞)上单调递增
∵0.32<1<20.3<2<log25
∴f(0.32)<f(20.3)<f(log25)
故选A.
点评:本题考查函数的单调性与奇偶性,考查学生的计算能力,确定函数在(0,+∞)上单调递增是关键.
练习册系列答案
相关题目
定义在R上的奇函数f(x)满足f(2x)=-2f(x),f(-1)=
,则f(2)的值为( )
| 1 |
| 2 |
| A、-1 | B、-2 | C、2 | D、1 |