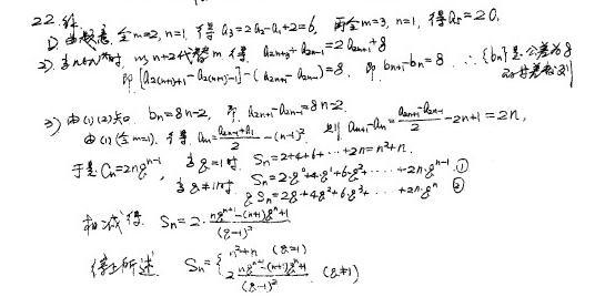
题目内容
(14分)已知数列满足,且对任意的都有
解析
已知数列满足:且对任意的有.
(Ⅰ)求数列的通项公式;
(Ⅱ)是否存在等差数列,使得对任意的有成立?证明你的结论
已知数列满足,且对任意的正整数都有,若数列的前项和为,则=