题目内容
已知函数
最小正周期为
,其中的一个对称中心为(
,且
(1)求函数
的表达式;
(2)求函数
的单调区间。
(2)求函数
解:(1 )由
,可知
,
由
,得
,
令k=0则
∴函数
的表达式为
;
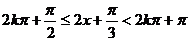
(2)由题意令
,解得
,
所以单调递增区间为
,
。
令
,解得
所以单调递减区间为
,
由
令k=0则
∴函数
(2)由题意令
所以单调递增区间为
令
所以单调递减区间为
练习册系列答案
相关题目
题目内容