题目内容
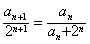
数列{an}满足a1=1,
,
(Ⅰ)证明:数列
是等差数列;
(Ⅱ)求数列{an}的通项公式an;
(Ⅲ)设bn=n(n+1)an,求数列{bn}的前n项和Sn。
(Ⅰ)证明:数列
(Ⅱ)求数列{an}的通项公式an;
(Ⅲ)设bn=n(n+1)an,求数列{bn}的前n项和Sn。
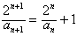
解:(Ⅰ)由已知可得
,即
,
即
,
∴数列
是公差为1的等差数列;
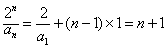
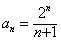
(Ⅱ)由(Ⅰ)知
,
∴
;
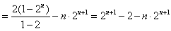
(Ⅲ)由(Ⅱ)知bn=n·2n,
,
,
相减得
,
∴
。
即
∴数列
(Ⅱ)由(Ⅰ)知
∴
(Ⅲ)由(Ⅱ)知bn=n·2n,
相减得
∴
练习册系列答案
相关题目