题目内容
.
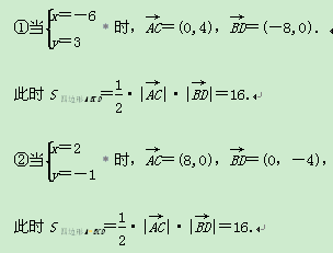
∴四边形ABCD为对角线互相垂直的梯形.
综上所述,满足条件的x、y的值分别为x=-6,y=3或x=2,y=-1,此时S四边形ABCD=16.
Sn=1-22+32-42+…+(-1)n-1·n2等于( )
如图所示,在平行四边形ABCD中,=______.
在平面直角坐标系中,O为坐标原点,已知A(3,1),B(-1,3),若点C满足
,则C点的轨迹方程是( )
A.x+2y-5=0 B.2x-y=0
C.(x-1)2+(y-2)2=5 D.3x-2y-11=0
已知三个不等式:ab>0,bc-ad>0,->0(其中a、b、c、d均为实数),用其中两个不等式作为条件,余下的一个不等式作为结论组成一个命题,可组成的正确命题的个数是( )
A.0 B.1
C.2 D.3
在圆中有结论:如图,“AB是圆O的直径,直线AC,BD是圆O过A,B的切线,P是圆O上任意一点,CD是过P的切线,则有PO2=PC·PD”.类比到椭圆:“AB是椭圆的长轴,直线AC,BD是椭圆过A,B的切线,P是椭圆上任意一点,CD是过P的切线,则有______.”
已知0<α-β<,<α+2β<,求α+β的取值范围.
若等于( )
A.2 B.
C.-2 D.-
1