题目内容
给出下面的数表序列,其中表n(n=1,2,3,…)有n行,第1行的n个数是1,3,5,…,2n-1,从第2行起,每行中的每个数都等于它肩上的两数之和。
(1)写出表4,验证表4各行中的数的平均数按从上到下的顺序构成等比数列,并将结论推广到表n(n≥3)(不要求证明);
(2)每个数表中最后一行都只有一个数,它们构成数列1,4,12,…,记此数列为{bn},求和:
。
(2)每个数表中最后一行都只有一个数,它们构成数列1,4,12,…,记此数列为{bn},求和:
解:(1)表4为:

它的第1,2,3,4行中的数的平均数分别是4,8,16, 32,它们构成首项为4,公比为2的等比数列
将这一结论推广到表n(n≥3),即表n(n≥3)各行中的数的平均数按从上到下的顺序构成首项为n,公比为2的等比数列。
(2)表n的第1行是1,3,5,…,2n-1,其平均数是

由(1)知,它的各行中的数的平均数按从上到下的顺序构成首项为n,公比为2的等比数列(从而它的第k行中的数的平均数是
),于是,表n中最后一行的唯一一个数为
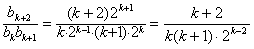
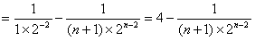
因此



故


。
它的第1,2,3,4行中的数的平均数分别是4,8,16, 32,它们构成首项为4,公比为2的等比数列
将这一结论推广到表n(n≥3),即表n(n≥3)各行中的数的平均数按从上到下的顺序构成首项为n,公比为2的等比数列。
(2)表n的第1行是1,3,5,…,2n-1,其平均数是
由(1)知,它的各行中的数的平均数按从上到下的顺序构成首项为n,公比为2的等比数列(从而它的第k行中的数的平均数是
因此
故
练习册系列答案
相关题目