题目内容
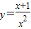
过曲线y=
【答案】分析:先求出切线的斜率,以及切点的坐标,点斜式写出切线方程,并化为一般式.
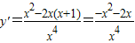
解答:解:∵
,
∴该切线的斜率k=y'|x=1 =-3,
曲线
(x>0)上横坐标为1的点(1,2),
故所求的切线方程为y-2=-3(x-1),即 3x+y-5=0,
故答案为:3x+y-5=0.
点评:本题考查求函数在某点的切线方程的求法,先求出切线的斜率及且点的坐标,从而得到切线方程.
解答:解:∵
∴该切线的斜率k=y'|x=1 =-3,
曲线
故所求的切线方程为y-2=-3(x-1),即 3x+y-5=0,
故答案为:3x+y-5=0.
点评:本题考查求函数在某点的切线方程的求法,先求出切线的斜率及且点的坐标,从而得到切线方程.
练习册系列答案
相关题目