题目内容
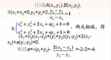
已知圆C:,过定点P(0,1)作斜率为1的直线交圆C于A、B两点,P为线段AB的中点.
(1)求a的值;
(2)设E为圆C上异于A、B的任意一点,求圆C的内接三角形ABE的面积的最大值.
在平面直角坐标系xoy中,设直线l的方程为x+my+2m-2=0.
(1)求证:m∈R直线l恒过定点Q,并求出定点Q的坐标;
(2)已知圆C的圆心与定点Q关于直线x-y-2=0对称,过点(1,-1),求圆C的方程;
(3)设M,P是圆C上任意两点,点M关于x轴的对称点为N,若直线MP、NP分别交于x轴于点(m,0)和(n,0),问mn是否为定值?若是,请求出该定值;若不是,请说明理由.