题目内容
(A.6
B.4
C.2
D.0
【答案】分析:由(
-
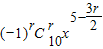
)10的展开式的通项为Tr+1=
,结合条件可知,5-
且r∈N,可求r
解答:解:∵(
-
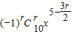
)10的展开式的通项为Tr+1=
由题意可得,5-
且r∈N
∴r=0或r=2符合题意,共有2项
故选C
点评:本题主要考查了利用二项展开式的通项求解指定项,解题的关键是寻求满足条件的r的取值
解答:解:∵(
由题意可得,5-
∴r=0或r=2符合题意,共有2项
故选C
点评:本题主要考查了利用二项展开式的通项求解指定项,解题的关键是寻求满足条件的r的取值
练习册系列答案
相关题目