题目内容
甲、乙等五名奥运志愿者被随机地分到A,B,C,D四个不同的岗位服务,每个岗位至少有一名志愿者.(Ⅰ)求甲、乙两人同时参加A岗位服务的概率;
(Ⅱ)求甲、乙两人不在同一个岗位服务的概率;
(Ⅲ)设随机变量ξ为这五名志愿者中参加A岗位服务的人数,求ξ的分布列.
【答案】分析:(Ⅰ)甲、乙两人同时参加A岗位服务,则另外三个人在B、C、D三个位置进行全排列,所有的事件数是从5个人中选2个作为一组,同其他3人共4个元素在四个位置进行排列.
(Ⅱ)总事件数同第一问一样,甲、乙两人不在同一个岗位服务的对立事件是甲、乙两人同时参加同一岗位服务,即甲、乙两人作为一个元素同其他三个元素进行全排列.
(Ⅲ)五名志愿者中参加A岗位服务的人数ξ可能的取值是1、2,ξ=2”是指有两人同时参加A岗位服务,同第一问类似做出结果.写出分布列.
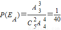
解答:解:(Ⅰ)记甲、乙两人同时参加A岗位服务为事件EA,
总事件数是从5个人中选2个作为一组,同其他3人共4个元素在四个位置进行排列C52A44.
满足条件的事件数是A33,
那么
,
即甲、乙两人同时参加A岗位服务的概率是
.
(Ⅱ)记甲、乙两人同时参加同一岗位服务为事件E,
满足条件的事件数是A44,
那么
,
∴甲、乙两人不在同一岗位服务的概率是
.
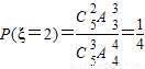
(Ⅲ)随机变量ξ可能取的值为1,2.事件“ξ=2”是指有两人同时参加A岗位服务,
则
.
∴
,ξ的分布列是
点评:本题考查概率,随机变量的分布列,近几年新增的内容,整体难度不大,可以作为高考基本得分点.总的可能性是典型的“捆绑排列”,易把C52混淆为A52,
(Ⅱ)总事件数同第一问一样,甲、乙两人不在同一个岗位服务的对立事件是甲、乙两人同时参加同一岗位服务,即甲、乙两人作为一个元素同其他三个元素进行全排列.
(Ⅲ)五名志愿者中参加A岗位服务的人数ξ可能的取值是1、2,ξ=2”是指有两人同时参加A岗位服务,同第一问类似做出结果.写出分布列.
解答:解:(Ⅰ)记甲、乙两人同时参加A岗位服务为事件EA,
总事件数是从5个人中选2个作为一组,同其他3人共4个元素在四个位置进行排列C52A44.
满足条件的事件数是A33,
那么
即甲、乙两人同时参加A岗位服务的概率是
(Ⅱ)记甲、乙两人同时参加同一岗位服务为事件E,
满足条件的事件数是A44,
那么
∴甲、乙两人不在同一岗位服务的概率是
(Ⅲ)随机变量ξ可能取的值为1,2.事件“ξ=2”是指有两人同时参加A岗位服务,
则
∴
| ξ | 1 | 2 |
| P | | |
点评:本题考查概率,随机变量的分布列,近几年新增的内容,整体难度不大,可以作为高考基本得分点.总的可能性是典型的“捆绑排列”,易把C52混淆为A52,
练习册系列答案
相关题目