题目内容

已知函数

(1)求函数的值域,并写出函数的单调递增区间;

(2)若,且,计算的值.

 

【答案】

(1)值域为;单调递增区间为(2).

【解析】

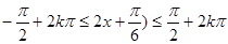
试题分析:(1)本小题首先需要对函数解析式进行化简变形得,然后根据求得函数的值域为;由,所以函数的单调递增区间为

(2)本小题首先根据代入可得,利用可判断,于是求得,然后展开代入求值即可.

试题解析:(1)      2分

由于,所以函数的值域为   4分

所以函数的单调递增区间为   6分

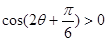
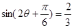
(2)由(1)得,,即     8分

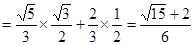
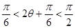
其中      10分

所以     11分

      13分

      14分

考点:1.三角恒等变换;2.正弦曲线的图像与性质.

 

练习册系列答案
相关题目

违法和不良信息举报电话:027-86699610 举报邮箱:58377363@163.com

精英家教网