题目内容
设等比数列{an}的公比q<1,前n项和为Sn,已知a3=2,S4=5S2,求{an}的通项公式。
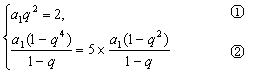
解:由题设知
,
则
,
由②得
,
,
,
因为q<1,解得q=-1或q=-2,
当q=-1时,代入①得
,通项公式
;
当q=-2时,代入①得
,通项公式
。
则
由②得
因为q<1,解得q=-1或q=-2,
当q=-1时,代入①得
当q=-2时,代入①得
练习册系列答案
相关题目
设等比数列{an}的前n项和为Sn,若8a2+a5=0,则下列式子中数值不能确定的是( )
A、
| ||
B、
| ||
C、
| ||
D、
|
设等比数列{an}的前n项和为Sn,若
=3,则
=( )
| S6 |
| S3 |
| S9 |
| S6 |
A、
| ||
B、
| ||
C、
| ||
| D、1 |