题目内容

已知数列满足的前10项和等于       (      )

(A)        (B)    (C)         (D)

 

【答案】

C.

【解析】

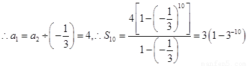
试题分析:由已知得是公比为的等比数列,,故选C.

考点:1.等比数列的定义;2.等比数列的前项和公式.

 

练习册系列答案
相关题目

违法和不良信息举报电话:027-86699610 举报邮箱:58377363@163.com

精英家教网