题目内容

已知数列的首项其中,令集合.

(1)若是数列中首次为1的项,请写出所有这样数列的前三项;

(2)求证:对恒有成立;

(3)求证:.

 

【答案】

(1)9,3,1或2,3,1;(2)详见解析;(3)详见解析.

【解析】

试题分析:(1)从入手,反过来求.从条件可看出,首先分讨论,然后分讨论.

(2)首先由递推公式将表示出来,再与比较即可.

(3)注意.当或2、3时,可求出前三项,前三项就是1、2、3三个数,结论成立.

那么当时,结论是否成立?由递推公式的结构可以看出,当时,数列中的项最终必将小于或等于3.现在的问题是如何来证明这一点.注意(2)小题的结论,由可得,这说明,“若,则”,这样依次递减下去,数列中的项最终必将小于或等于3.一旦小于等于3,则必有1、2、3,从而问题得证.

试题解析:(1)由题设知,数列各项均大于0.

时,.若,则;若,则.

所以前三项分别为9,3,1或2,3,1.

时,,不合题意,舍去.

综上得,前三项分别为9,3,1或2,3,1.

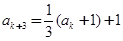
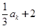
(2)①当被3除余1时,由已知可得,

②当被3除余2时,由已知可得,.

仍为3的倍数,则;若不为3的倍数,则.

总之,都有

③当被3除余0时,由已知可得.

都是3的倍数,则.

是3的倍数,不是3的倍数,则.

不是3的倍数,是3的倍数,则.

以上三种情况,都有

综合①②③,有.

(3)注意.若,则.

,则.

,则.

以上三种情况都有(实际上).

下面证明,当时,数列中必存在某一项.

由(2)可得

所以,对于数列中的任意一项,“若,则”.由此可知,若仍然大于3,则,这样依次递减下去,最终必存在某一项.

所以如果,则数列中必存在某一项.

由前面的计算知,只要数列中存在小于等于3的项,则必有1、2、3三个数,

所以.

考点:1、递推数列;2、不等式的证明.

 

练习册系列答案
相关题目

违法和不良信息举报电话:027-86699610 举报邮箱:58377363@163.com

精英家教网