题目内容
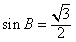
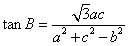
已知在锐角△ABC中,角A、B、C的对边分别为a、b、c且
,
(1)求B;
(2)求函数f(x)=sinx+2sinBcosx,x∈[0,
]的单调递减区间.
(1)求B;
(2)求函数f(x)=sinx+2sinBcosx,x∈[0,
解:(1)在△ABC中,利用余弦定理得b2=a2+c2-2accosB,
代入
,得
,
而△ABC是锐角三角形,所以角
。
(2)
,
若函数f(x)单调递减,则
,
所以
,
当k=0时,
,
又
,则
,
所以f(x)在
上的单调递减区间为
。
代入
而△ABC是锐角三角形,所以角
(2)
若函数f(x)单调递减,则
所以
当k=0时,
又
所以f(x)在
练习册系列答案
相关题目