题目内容
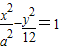
已知双曲线
【答案】分析:由与在双曲线的标准方程中已知了b2=12,故只需利用离心率定义及c2=a2+b2,求出a、c即可
解答:解:∵双曲线
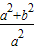
的离心率e=2
∴e2=
=
=1+
=4
∴a2=4
∴c2=16,c=4,2c=8
∴双曲线的焦距为8
故答案为 8
点评:本题考查了双曲线的标准方程及其几何性质,属基础题
解答:解:∵双曲线
∴e2=
∴a2=4
∴c2=16,c=4,2c=8
∴双曲线的焦距为8
故答案为 8
点评:本题考查了双曲线的标准方程及其几何性质,属基础题
练习册系列答案
相关题目