题目内容
设x1、x2(x1≠x2)是函数f(x)=ax3+bx2-a2x(a>0)的两个极值点.(1)若x1=-1,x2=2,求函数f(x)的解析式;
(2)若
(3)函数g(x)=f'(x)-a(x-x1)若x1<x<x2,且x2=a,求函数g(x)在(x1,x2)内的最小值.(用a表示)
【答案】分析:(1)f'(x)=3ax2+2bx-a2(a>0).由得
,(或由f'(-1)=0,f'(2)=0,解得a=6,b=-9.)由此能求出f(x)的解析式.
(2)由x1、x2(x1≠x2)是函数f(x)=ax3+bx2-a2x(a>0)的两个极值点,知x1,x2是方程3ax2+2bx-a2=0的两根,由△=4b2+12a3>0对一切a>0,b∈R恒成立,
,a>0,知x1•x2<0,由此能求出b的最大值.
(3)由x1、x2是方程f'(x)=0的两根,f'(x)=3ax2+2bx-a2(a>0),
,知
,
,由此能求出函数g(x)在(x1,x2)内的最小值.
解答:解:(1)f'(x)=3ax2+2bx-a2(a>0).(1分)
∵x1=-1,x2=2是函数f(x)的两个极值点,
由
,
得
,(3分)
(或由f'(-1)=0,f'(2)=0.
∴3a-2b-a2=0,12a+4b-a2=0,
解得a=6,b=-9.)
∴f(x)=6x3-9x2-36x,(4分)
(2)∵x1、x2(x1≠x2)是函数f(x)=ax3+bx2-a2x(a>0)的两个极值点,
∴f'(x1)=f'(x2)=0,
∴x1,x2是方程3ax2+2bx-a2=0的两根,
∵△=4b2+12a3,
∴△>0对一切a>0,b∈R恒成立,
而
,a>0,
∴x1•x2<0,
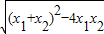
∴|x1|+|x2|=|x1-x2|
=
=
=
,(6分)
由
,
得
=2
,
∴b2=3a2(6-a).(7分)
∵b2≥0,
∴3a2(6-a)≥0,0<a≤6.(8分)
令h(a)=3a2(6-a),
则h'(a)=-9a2+36a.
0<a<4时,h'(a)>0
∴h(a)在(0,4)内是增函数;
4<a<6时,h'(a)<0,
∴h (a)在(4,6)内是减函数.
∴a=4时,h(a)有极大值为96,
∴h(a)在(0,6]上的最大值是96,
∴b的最大值是
.…(10分)
(3)∵x1、x2是方程f'(x)=0的两根,
f'(x)=3ax2+2bx-a2(a>0)
∵
,
∴
,(11分)
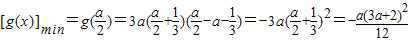
∴
∴g(x)=f'(x)-a(x-x1)
=
,(12分)
对称轴为
,
∵a>0,
∴
,
∴
.(15分)
点评:本题考查利用导数求闭区间上函数的最值的应用,考查运算求解能力,推理论证能力;考查化归与转化思想.对数学思维的要求比较高,有一定的探索性.综合性强,难度大,是高考的重点.解题时要认真审题,仔细解答.
(2)由x1、x2(x1≠x2)是函数f(x)=ax3+bx2-a2x(a>0)的两个极值点,知x1,x2是方程3ax2+2bx-a2=0的两根,由△=4b2+12a3>0对一切a>0,b∈R恒成立,
(3)由x1、x2是方程f'(x)=0的两根,f'(x)=3ax2+2bx-a2(a>0),
解答:解:(1)f'(x)=3ax2+2bx-a2(a>0).(1分)
∵x1=-1,x2=2是函数f(x)的两个极值点,
由
得
(或由f'(-1)=0,f'(2)=0.
∴3a-2b-a2=0,12a+4b-a2=0,
解得a=6,b=-9.)
∴f(x)=6x3-9x2-36x,(4分)
(2)∵x1、x2(x1≠x2)是函数f(x)=ax3+bx2-a2x(a>0)的两个极值点,
∴f'(x1)=f'(x2)=0,
∴x1,x2是方程3ax2+2bx-a2=0的两根,
∵△=4b2+12a3,
∴△>0对一切a>0,b∈R恒成立,
而
∴x1•x2<0,
∴|x1|+|x2|=|x1-x2|
=
=
=
由
得
∴b2=3a2(6-a).(7分)
∵b2≥0,
∴3a2(6-a)≥0,0<a≤6.(8分)
令h(a)=3a2(6-a),
则h'(a)=-9a2+36a.
0<a<4时,h'(a)>0
∴h(a)在(0,4)内是增函数;
4<a<6时,h'(a)<0,
∴h (a)在(4,6)内是减函数.
∴a=4时,h(a)有极大值为96,
∴h(a)在(0,6]上的最大值是96,
∴b的最大值是
(3)∵x1、x2是方程f'(x)=0的两根,
f'(x)=3ax2+2bx-a2(a>0)
∵
∴
∴
∴g(x)=f'(x)-a(x-x1)
=
对称轴为
∵a>0,
∴
∴
点评:本题考查利用导数求闭区间上函数的最值的应用,考查运算求解能力,推理论证能力;考查化归与转化思想.对数学思维的要求比较高,有一定的探索性.综合性强,难度大,是高考的重点.解题时要认真审题,仔细解答.
练习册系列答案
相关题目