题目内容
已知双曲线(1)求双曲线的方程;
(2)过点B作直线m交双曲线于M、N两点,若
【答案】分析:(1)先求出直线l的方程,再点到直线的距离公式建立关于a,b,c的方程,解这个方程求出a,b,从而得到双曲线的方程.
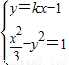
(2)设m方程为y=kx-1,则点M、N坐标(x1,y1),(x2,y2)是方程组
的解,消去y,得(1-3k2)x2+6kx-6=0.由根与系数关系和题设条件推导出k的值,从而求出直线m的方程.
解答:解:(1)依题意,l方程
+
=1,即bx-ay-ab=0,由原点O到l的距离为
,得
=
=
,又e=
=
,
∴b=1,a=
.
故所求双曲线方程为
-y2=1.
(2)显然直线m不与x轴垂直,设m方程为y=kx-1,
则点M、N坐标(x1,y1),(x2,y2)是方程组
的解,
消去y,得(1-3k2)x2+6kx-6=0.①
依题意,1-3k2≠0,由根与系数关系,
知x1+x2=
,x1x2=
•
=(x1,y1)•(x2,y2)=x1x2+y1y2
=x1x2+(kx1-1)(kx2-1)
=(1+k2)x1x2-k(x1+x2)+1
=
-
+1=
+1.
又∵
•
=-23,
∴
+1=-23,k=±
,
当k=±
时,方程①有两个不相等的实数根,
∴方程为y=
x-1或y=-
x-1.
点评:本题是双典线的综合题,重点考查双曲线的性质及其应用,具有一定的难度.解题时要注意根与系数的关系的灵活运用.
(2)设m方程为y=kx-1,则点M、N坐标(x1,y1),(x2,y2)是方程组
解答:解:(1)依题意,l方程
∴b=1,a=
故所求双曲线方程为
(2)显然直线m不与x轴垂直,设m方程为y=kx-1,
则点M、N坐标(x1,y1),(x2,y2)是方程组
消去y,得(1-3k2)x2+6kx-6=0.①
依题意,1-3k2≠0,由根与系数关系,
知x1+x2=
=x1x2+(kx1-1)(kx2-1)
=(1+k2)x1x2-k(x1+x2)+1
=
又∵
∴
当k=±
∴方程为y=
点评:本题是双典线的综合题,重点考查双曲线的性质及其应用,具有一定的难度.解题时要注意根与系数的关系的灵活运用.
练习册系列答案
相关题目