题目内容
等比数列{an}的前n项和为Sn,且4a1,2a2,a3成等差数列.若a1=1,则S4=( )A.7
B.8
C.15
D.16
【答案】分析:先根据“4a1,2a2,a3成等差数列”和等差中项的性质得到3者的关系式,然后根据等比数列的性质用a1、q表示出来代入以上关系式,进而可求出q的值,最后根据等比数列的前n项和公式可得到答案.
解答:解:∵4a1,2a2,a3成等差数列
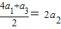
∴
,
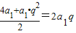
∴
,即
∴q=2
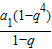
∴S4=
=
=15
故选C
点评:本题主要考查等比数列、等差数列的基本性质.属基础题.
解答:解:∵4a1,2a2,a3成等差数列
∴
∴
∴q=2
∴S4=
故选C
点评:本题主要考查等比数列、等差数列的基本性质.属基础题.
练习册系列答案
相关题目