题目内容
过(2,2)点且与曲线x2+y2+2x-2y-2=0相交所得弦长为A.3x-4y+2=0
B.3x-4y+2=0或x=2
C.3x-4y+2=0或y=2
D.x=2或y=2
【答案】分析:曲线x2+y2+2x-2y-2=0化为标准方程,确定圆心与半径,设出直线方程,利用条件可得圆心到直线的距离为1,从而可求直线方程.
解答:解:曲线x2+y2+2x-2y-2=0化为标准方程为:(x+1)2+y-1)2=4,表示圆心为(-1,1),半径为2的圆
设过点(2,2)的直线方程为y-2=k(x-2),即kx-y-2k+2=0
∵过(2,2)点且与曲线x2+y2+2x-2y-2=0相交所得弦长为
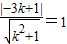
∴圆心到直线的距离为
∴
∴4k2+3k=0
∴k=0,或k=-
∴所求直线方程为:3x-4y+2=0或y=2
故选C.
点评:本题重点考查直线与圆的位置关系,考查点到直线距离公式的运用,属于基础题.
解答:解:曲线x2+y2+2x-2y-2=0化为标准方程为:(x+1)2+y-1)2=4,表示圆心为(-1,1),半径为2的圆
设过点(2,2)的直线方程为y-2=k(x-2),即kx-y-2k+2=0
∵过(2,2)点且与曲线x2+y2+2x-2y-2=0相交所得弦长为
∴圆心到直线的距离为
∴
∴4k2+3k=0
∴k=0,或k=-
∴所求直线方程为:3x-4y+2=0或y=2
故选C.
点评:本题重点考查直线与圆的位置关系,考查点到直线距离公式的运用,属于基础题.
练习册系列答案
相关题目