题目内容
_____________
【答案】
![]()
【解析】
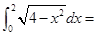
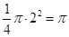
试题分析:令
则求原积分转化为求
的面积,如图所示的四分之一
![]()
圆的面积,则
S=
.
考点:定积分的运算.
练习册系列答案
相关题目
题目内容
_____________
![]()
【解析】
试题分析:令
则求原积分转化为求
的面积,如图所示的四分之一
![]()
圆的面积,则
S=
.
考点:定积分的运算.