题目内容
已知正方体
的棱长为
,
,点N为
的中点,则
( )
A、
B、
C、
D、![]()
【答案】
A
【解析】
试题分析:以
为原点,分别以
所在直线为x轴,y轴,z轴建立空间直角坐标系,则A(0,0,a),N(a,0,
),
(a,a,0),设M(x,y,z),因为
,所以(x-0,y-0,z-a)
=
(a-x,a-y,0-z)即
,解得
,即M(
,
,
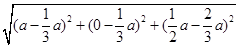
),所以![]()
=
,故选A.
考点:空间向量的坐标运算和向量的模.
练习册系列答案
相关题目
已知正方体的棱长为2,则其外接球的半径为( )
| A、2 | ||
B、2
| ||
C、2
| ||
D、
|
已知正方体的棱长为1,则该正方体外接球的体积为( )
A、
| ||||
B、
| ||||
C、
| ||||
D、
|