搜索
题目内容
设公差不为零的等差数列{a
n
},S
n
是数列{a
n
}的前n项和,且S
3
2
=9S
2
,S
4
=4S
2
,求数列{a
n
}的通项公式。
试题答案
相关练习册答案
解:设数列{a
n
}的公差为d(d≠0),首项为a
1
,
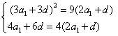
由已知得:
,
解之得:
或
(舍),
∴
。
练习册系列答案
中考夺标最新模拟试题系列答案
分层课课练系列答案
创新成功学习名校密卷系列答案
名师点拨课时作业甘肃教育出版社系列答案
小学奥数举一反三系列答案
新课标初中单元测试卷系列答案
口算应用一卡通系列答案
首席期末8套卷系列答案
新课标单元检测卷系列答案
同步训练全优达标测试卷系列答案
相关题目
设公差不为零的等差数列{a
n
},S
n
是数列{a
n
}的前n项和,且S
3
2
=9S
2
,S
4
=4S
2
,求数列{a
n
}的通项公式.
设公差不为零的等差数列{a
n
},经调整各项顺序后组成一等比数列,则数列{a
n
}( )
A.只有三项
B.只有四项
C.可以有无限项
D.不存在
(2013•浙江模拟)设公差不为零的等差数列{a
n
}的前n项和为S
n
.若a
2
2
+a
3
2
=a
4
2
+a
5
2
,则S
6
=
0
0
.
(2013•浙江模拟)已知等比数列{a
n
}的前n项和S
n
=2
n
-a,n∈N
*
.设公差不为零的等差数列{b
n
}满足:b
1
=a
1
+2,且b
2
+5,b
4
+5,b
8
+5成等比.
(Ⅰ) 求a及b
n
;
(Ⅱ) 设数列{
lo
g
2
a
n
}的前n项和为T
n
.求使T
n
>b
n
的最小正整数n的值.
(2012•泸州一模)设公差不为零的等差数列{a
n
}的前n项和为S
n
,若a
4
是a
3
与a
7
的等比中项,S
8
=32,则a
10
等于( )
A.17
B.60
C.16
D.15
关 闭
试题分类
高中
数学
英语
物理
化学
生物
地理
初中
数学
英语
物理
化学
生物
地理
小学
数学
英语
其他
阅读理解答案
已回答习题
未回答习题
题目汇总
试卷汇总
练习册解析答案