题目内容


已知函数f(x)=2ax2+2x-3.如果函数yf(x)在区间[-1,1]上有零点,则实数a的取值范围为______________.


解析 若a=0,则f(x)=2x-3,

f(x)=0⇒x∉[-1,1],不合题意,故a≠0.

下面就a≠0分两种情况讨论:

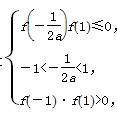
①当f(-1)·f(1)≤0时,f(x)在[-1,1]上有一个零点,即(2a-5)(2a-1)≤0,解得a.

②当f(-1)·f(1)>0时,f(x)在[-1,1]上有零点的条件是 解得a>.

综上,实数a的取值范围为.


练习册系列答案
相关题目

违法和不良信息举报电话:027-86699610 举报邮箱:58377363@163.com

精英家教网