题目内容
设函数f(x)=xlnx(x>0).
(1)求函数f(x)的最小值;
(2)设F(x)=a
+f'(x)(a∈R),讨论函数F(x)的单调性;
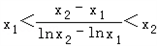
(3)斜率为k的直线与曲线y=f'(x)交于A(
,
)、B(x2,y2)(
<x2)两点,求证:
.
(1)求函数f(x)的最小值;
(2)设F(x)=a
(3)斜率为k的直线与曲线y=f'(x)交于A(
(1)解:f'(x)=lnx+1(x>0),
令f'(x)=0,得
.
∵当
时,f'(x)<0;
当
时,f'(x)>0,
∴当
时,
.
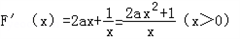
(2)F(x)=a
+lnx+1(x>0),
.
①当a≥0时,恒有F'(x)>0,F(x)在(0,+∞)上是增函数;
②当a<0时,令F'(x)>0,得2a
+1>0,解得
;
令F'(x)<0,得2a
+1<0,解得
.
综上,当a≥0时,F(x)在(0,+∞)上是增函数;
当a<0时,F(x)在
上单调递增,在
上单调递减.
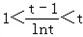
(3)证:
.
要证
,即证
,等价于证
,
令
,则只要证
,
由t>1知lnt>0,故等价于证lnt<t﹣1<tlnt(t>1)(*).
①设g(t)=t﹣1﹣lnt(t≥1),则
,
故g(t)在[1,+∞)上是增函数,
∴当t>1时,g(t)=t﹣1﹣lnt>g(1)=0,即t﹣1>lnt(t>1).
②设h(t)=tlnt﹣(t﹣1)(t≥1),则h'(t)=lnt≥0(t≥1),
故h(t)在[1,+∞)上是增函数,
∴当t>1时,h(t)=tlnt﹣(t﹣1)>h(1)=0,即t﹣1<tlnt(t>1).
由①②知(*)成立,得证.
令f'(x)=0,得
∵当
当
∴当
(2)F(x)=a
①当a≥0时,恒有F'(x)>0,F(x)在(0,+∞)上是增函数;
②当a<0时,令F'(x)>0,得2a
令F'(x)<0,得2a
综上,当a≥0时,F(x)在(0,+∞)上是增函数;
当a<0时,F(x)在
(3)证:
要证
令
由t>1知lnt>0,故等价于证lnt<t﹣1<tlnt(t>1)(*).
①设g(t)=t﹣1﹣lnt(t≥1),则
故g(t)在[1,+∞)上是增函数,
∴当t>1时,g(t)=t﹣1﹣lnt>g(1)=0,即t﹣1>lnt(t>1).
②设h(t)=tlnt﹣(t﹣1)(t≥1),则h'(t)=lnt≥0(t≥1),
故h(t)在[1,+∞)上是增函数,
∴当t>1时,h(t)=tlnt﹣(t﹣1)>h(1)=0,即t﹣1<tlnt(t>1).
由①②知(*)成立,得证.
练习册系列答案
相关题目