题目内容
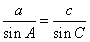
△ABC中,A,B,C所对的边分别为a,b,c,
,sin(B-A)=cosC。
(1)求A,C;
(2)若S△ABC=3+
,求a,c。
(1)求A,C;
(2)若S△ABC=3+
解:(1)因为
即
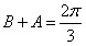
所以
即
得
所以
或
(不成立)
即
,得
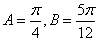
所以
又因为
则
或
(舍去)
得
。
(2)
又
即
得
。
即
所以
即
得
所以
即
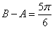
所以
又因为
则
得
(2)
又
即
得
练习册系列答案
相关题目
题目内容