题目内容
设函数(1)求函数f(x)的单调区间;
(2)如果当
【答案】分析:(1)通过对函数f(x)求导,进而转化为判断二次函数y=x2-2ax+2a的正负问题,再对a分类讨论即可.
(2)当
恒成立问题,转化为当x>1,且x≠2时
恒成立问题,只要利用(1)的结论对a及x进行分类讨论f(x)-a及x-2的符号即可.
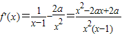
解答:解:(1)由题意可知函数f(x)的定义域为(1,+∞),
,
设g(x)=x2-2ax+2a,△=4a2-8a=4a(a-2),
①当△≤0,即0≤a≤2,g(x)≥0,
∴f′(x)≥0,f(x)在(1,+∞)上单调递增.
②当a<0时,g(x)的对称轴为x=a,当x>1时,由二次函数的单调性可知g(x)>g(1)>0,
∴f′(x)>0,f(x)在(1,+∞)上单调递增.
③当a>2时,设x1,x2(x1<x2)是方程x2-2ax+2a=0的两个根,则
,
当1<x<x1或x>x2时,f′(x)>0,f(x)在(1,x1),(x2,+∞)上是增函数.
当x1<x<x2时,f′(x)<0,f(x)在(x1,x2)上是减函数.
综上可知:当a≤2时,f(x)在(1,+∞)上单调递增;
当a>2时,f(x)的单调增区间为(1,x2),(x2,+∞),单调递减区间为(x1,x2).
(2)
,即
,(*)
令h(x)=f(x)-a,由(1)知:
①当a≤2时,f(x)在(1,+∞)上是增函数,所以h(x)在(1,+∞)是增函数.
因为当1<x<2时,h(x)<h(2)=0,∴(*)式成立;
当x>2时,h(x)>h(2)=0,∴(*)成立;
所以当a≤2时,(*)成立
②当a>2时,因为f(x)在(x1,2)上是减函数,所以h(x)在(x1,2)上是减函数,所以当x1<x<2时,h(x)>h(2)=0,(*)不成立.
综上可知,a的取值范围为(-∞,2].
点评:本题综合考查了函数的单调性及恒成立问题,关键是通过分类讨论得到函数的单调区间及会转化利用已证的结论解决问题.
(2)当
解答:解:(1)由题意可知函数f(x)的定义域为(1,+∞),
设g(x)=x2-2ax+2a,△=4a2-8a=4a(a-2),
①当△≤0,即0≤a≤2,g(x)≥0,
∴f′(x)≥0,f(x)在(1,+∞)上单调递增.
②当a<0时,g(x)的对称轴为x=a,当x>1时,由二次函数的单调性可知g(x)>g(1)>0,
∴f′(x)>0,f(x)在(1,+∞)上单调递增.
③当a>2时,设x1,x2(x1<x2)是方程x2-2ax+2a=0的两个根,则
当1<x<x1或x>x2时,f′(x)>0,f(x)在(1,x1),(x2,+∞)上是增函数.
当x1<x<x2时,f′(x)<0,f(x)在(x1,x2)上是减函数.
综上可知:当a≤2时,f(x)在(1,+∞)上单调递增;
当a>2时,f(x)的单调增区间为(1,x2),(x2,+∞),单调递减区间为(x1,x2).
(2)
令h(x)=f(x)-a,由(1)知:
①当a≤2时,f(x)在(1,+∞)上是增函数,所以h(x)在(1,+∞)是增函数.
因为当1<x<2时,h(x)<h(2)=0,∴(*)式成立;
当x>2时,h(x)>h(2)=0,∴(*)成立;
所以当a≤2时,(*)成立
②当a>2时,因为f(x)在(x1,2)上是减函数,所以h(x)在(x1,2)上是减函数,所以当x1<x<2时,h(x)>h(2)=0,(*)不成立.
综上可知,a的取值范围为(-∞,2].
点评:本题综合考查了函数的单调性及恒成立问题,关键是通过分类讨论得到函数的单调区间及会转化利用已证的结论解决问题.
练习册系列答案
相关题目