题目内容
如图,设椭圆的中心为原点O,长轴在x轴上,上顶点为A,左右焦点分别为F1,F2,线段OF1,OF2的中点分别为B1,B2,且△AB1B2是面积为4的直角三角形.(Ⅰ)求该椭圆的离心率和标准方程;
(Ⅱ)过B1做直线l交椭圆于P,Q两点,使PB2⊥QB2,求直线l的方程.
【答案】分析:(Ⅰ)设椭圆的方程为
,F2(c,0),利用△AB1B2是的直角三角形,|AB1|=AB2|,可得∠B1AB2为直角,从而
,利用c2=a2-b2,可求
,又S=
|B1B2||OA|=
=4,故可求椭圆标准方程;
(Ⅱ)由(Ⅰ)知B1(-2,0),B2(2,0),由题意,直线PQ的倾斜角不为0,故可设直线PQ的方程为x=my-2,代入椭圆方程,消元可得(m2+5)y2-4my-16-0,利用韦达定理及PB2⊥QB2,利用
可求m的值,进而可求直线l的方程.
解答:解:(Ⅰ)设椭圆的方程为
,F2(c,0)
∵△AB1B2是的直角三角形,|AB1|=AB2|,∴∠B1AB2为直角,从而|OA|=|OB2|,即
∵c2=a2-b2,∴a2=5b2,c2=4b2,∴
在△AB1B2中,OA⊥B1B2,∴S=
|B1B2||OA|=
∵S=4,∴b2=4,∴a2=5b2=20
∴椭圆标准方程为
;
(Ⅱ)由(Ⅰ)知B1(-2,0),B2(2,0),由题意,直线PQ的倾斜角不为0,故可设直线PQ的方程为x=my-2
代入椭圆方程,消元可得(m2+5)y2-4my-16=0①
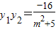
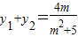
设P(x1,y1),Q(x2,y2),
∴
,
∵
,
∴
=
∵PB2⊥QB2,∴
∴
,∴m=±2
所以满足条件的直线有两条,其方程分别为x+2y+2=0和x-2y+2=0.
点评:本题考查椭圆的标准方程,考查椭圆的几何性质,考查直线与椭圆的位置关系,考查向量知识的运用,考查三角形的面积计算,综合性强.
(Ⅱ)由(Ⅰ)知B1(-2,0),B2(2,0),由题意,直线PQ的倾斜角不为0,故可设直线PQ的方程为x=my-2,代入椭圆方程,消元可得(m2+5)y2-4my-16-0,利用韦达定理及PB2⊥QB2,利用
解答:解:(Ⅰ)设椭圆的方程为
∵△AB1B2是的直角三角形,|AB1|=AB2|,∴∠B1AB2为直角,从而|OA|=|OB2|,即
∵c2=a2-b2,∴a2=5b2,c2=4b2,∴
在△AB1B2中,OA⊥B1B2,∴S=
∵S=4,∴b2=4,∴a2=5b2=20
∴椭圆标准方程为
(Ⅱ)由(Ⅰ)知B1(-2,0),B2(2,0),由题意,直线PQ的倾斜角不为0,故可设直线PQ的方程为x=my-2
代入椭圆方程,消元可得(m2+5)y2-4my-16=0①
设P(x1,y1),Q(x2,y2),
∴
∵
∴
∵PB2⊥QB2,∴
∴
所以满足条件的直线有两条,其方程分别为x+2y+2=0和x-2y+2=0.
点评:本题考查椭圆的标准方程,考查椭圆的几何性质,考查直线与椭圆的位置关系,考查向量知识的运用,考查三角形的面积计算,综合性强.
练习册系列答案
相关题目