题目内容

已知函数
(Ⅰ)求的最小正周期;
(Ⅱ)求在区间上的最大值和最小值.

解:(Ⅰ)
                  
                
                        
                       
∴  函数的最小正周期.      

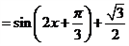
(Ⅱ)

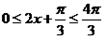
∴  ,                            
∴  
∴  在区间上的最大值为,最小值为

练习册系列答案
相关题目

已知函数

(1)求的最小值;

(2)若对所有都有,求实数的取值范围.

 

(本小题满分10分)已知函数

   (1)试求的值域;

   (2)设,若对恒有 成立,试求实数的取值氛围。

 

 

已知函数,(1)求的定义域;

(2)设是第四象限的角,且,求的值。

 

(12′)已知函数

(1)求的解析式;

(2)判断的奇偶性。

 

已知函数.

(Ⅰ)当时,求的最小值;

(Ⅱ)若函数在区间上为单调函数,求实数的取值范围;

(Ⅲ)当时,不等式恒成立,求实数的取值范围.